Klinogicare® Quantum Magnetic Storm HIMS PMST

Аппарат таргетированной фокусной и радиальной магнитной терапии высокой интенсивности (магнитный стимулятор мышц и суставов глубокого воздействия) в двух исполнениях: модель DOS - стационарный на 2 канала (каждый от 4 до 7 Тесла), модель UNO - портативный на 1 канал (от 4 до 7 Тесла).
В комплекте 3 манипулы разного размера (малая на 4 Тесла, кольцо "фокусный режим" на 5 Тесла, гранд на 7 Тесла)
Высокоинтенсивная высокоиндуктивная импульсная таргетированная фокусная и радиальная магнитная стимуляция. Для более быстрой реабилитации спортсмена после операций и травм, для использования при хронических болях, скульптурирование тела (коррекция рельефов)
Краткое содержание этой страницы за 15 секунд (Саммари):
Научно доказано, что высокоинтенсивные магнитные поля
способны глубоко проникать в ткани, стимулировать регенерацию клеток, уменьшать воспаление и ускорять восстановление. Эффективное воздействие на мышцы, суставы и нервы, улучшение кровообращения и обеспечение анальгезии без использования фармакологических препаратов.
Продвинутые технологии в Klinogicare® Quantum Magnetic Storm. Благодаря современным компонентам последнего поколения интенсивность магнитного поля составляет от 4 до 7 Тесла в зависимости от используемой манипулы. Применяются самые современные и дорогостоящие катушки индуктора как основного источника магнитного поля. Чем мощнее катушки, тем глубже и эффективнее воздействие на ткани. Электронные усилители для увеличения мощности и точности воздействия, преобразователи частоты, контроллеры и микропроцессоры, блок управления, фокусная манипула и радиальные насадки, система защиты и система охлаждения.

Описание методики терапии магнитом высокой интенсивности

Терапия магнитом высокой интенсивности использует мощные электромагнитные поля, создаваемые аппаратами, для глубокого воздействия на ткани организма. Магнитное поле проникает в тело, вызывая стимуляцию клеточных и молекулярных процессов через магнитно-механическое воздействие. Электромагнитные импульсы, генерируемые аппаратом, вызывают изменение электрического потенциала клеточных мембран, что усиливает обменные процессы в тканях. Когда ткани организма подвергаются воздействию высокоинтенсивного магнитного поля (3 Тесла и более), это приводит к усилению регенерации тканей и улучшению кровообращения за счет увеличения скорости движения ионов в клетках. Магнитное поле оказывает непосредственное воздействие на нервные окончания и мышечные волокна, что способствует снятию болевого синдрома, уменьшению воспалительных процессов и ускорению заживления тканей. Стимулирует глубокие мышечные структуры, недоступные для других методов.


Основной механизм:

  1. Генерация магнитного поля — аппарат создаёт мощное магнитное поле, которое распространяется вглубь тканей.
  2. Электромагнитная индукция — магнитное поле вызывает образование электрического поля в тканях организма, что стимулирует нервы и мышцы.
  3. Мышечное сокращение — результатом является сокращение мышц, которые можно тренировать даже без активного участия пациента.

Это сочетание глубокого воздействия и возможности непрерывной стимуляции мышц без боли делает магнитотерапию эффективным методом, особенно для мышц тазового дна, куда другие методы физической терапии не могут проникнуть напрямую.


Пороги интенсивности поля:


По состоянию на конец 2024 года ряд исследователей классифицируют устройства по мощности следующим образом:


  • Аппараты менее 3 Тесла относятся к категории средней интенсивности. Медиум класс, магниты средней интенсивности, электромагнитная стимуляция средней интенсивности. Научный источник (откроется в новом окне).
  • Аппарат от 3 Тесла и выше - Высокоинтенсивная высокоиндуктивная магнитная стимуляция.

Биологические эффекты терапии магнитом высокой интенсивности

  • Улучшение клеточного метаболизма и увеличение выработки АТФ
  • Лечение мышц тазового дна (гинекология, урология)
  • Улучшение микроциркуляции
  • Ускорение рассасывания гематом
  • Снижение боли (немедикаментозная анальгезия)
  • Регуляция иммунных реакций
  • Противовоспалительное действие
  • Нормализация мышечного тонуса и скульптурирование контуров тела
  • Стимуляция липолиза и устранение жировых отложений
  • Улучшение проводимости нервных импульсов

Эффекты примечание:


"Устройства электромагнитного поля демонстрируют клинические применения в области спортивной медицины, эстетики, урологии, реабилитации, физиотерапии и управления болью, основываясь на стимуляции двигательных и сенсорных нервов, вызывая мышечные сокращения и нейромодуляционные эффекты. Нет единого предпочтительного протокола. Например, улучшения мышечной силы можно достичь с помощью различных протоколов, а один и тот же протокол может давать разные результаты. Однако большинство исследований, направленных на улучшение мышечной силы, используют максимальную допустимую интенсивность (1000-3000 Гц) для создания сильных мышечных сокращений, а более низкие интенсивности (1-160 Гц) чаще применяются для управления болью."


Источник - обзор исследований Introduction to High Intensity Tesla Stimulation (HITS) and Review of Electro-Magnetic Field Device clinical applications ссылка (откроется в новом окне).


Напомним, что в Klinogicare® Quantum Magnetic Storm можно выбрать как режим Muscle Treatment Mode (MT mode) — режим лечения мышц, предусматривает настраиваемую частоту колебаний 1-150 Гц, и Super Transduction Mode (ST mode) — режим сверхпроникающего воздействия - в этом режиме частота колебаний 1000-3000 Гц.


Также из этого обзора научной литературы: "Важно отметить, что интенсивность стимуляции зависит от переносимости пациентом. Увеличение стимула может привести к неприятным ощущениям, в то время как стимуляция на более низком уровне может привести к менее оптимальным результатам. Помимо укрепления мышц и скульптурирования тела, где частота стимуляции в основном не указывается, в клинических приложениях чаще всего используется частота 20 Гц. Для достижения клинически значимого результата требуется несколько сеансов, при этом наибольшее количество сеансов типично для реабилитации нарушений моторного контроля, вызванных болезнью или травмой, и для управления болью, а наименьшее количество сеансов необходимо для укрепления мышц и формирования тела. В некоторых исследованиях по укреплению мышц тазового дна был отмечен эффект зависимости от дозы, при котором большее количество сеансов приводило к лучшему улучшению, а прекращение терапии обычно приводило к возврату симптомов.


На основе результатов данного обзора мы заключаем, что магнитная стимуляция приводит к улучшению мышечной силы, выносливости, физической работоспособности, качества жизни, увеличению размера мышц, улучшению эстетики и удовлетворенности пациентов, уменьшению болей в опорно-двигательном аппарате, улучшению моторного контроля, снижению спастичности и пареза, улучшению диапазона движений суставов и уменьшению симптомов недержания".

Как это работает
Магнитное поле распространяется глубоко внутрь в ткани, даже через одежду.
Оно беспрепятственно проходит через одежду, кожу, мягкие ткани и даже кости, воздействуя в том числе на труднодоступные участки тела.
Магнитное поле вызывает индукцию локального электрического поля
Это электрическое поле создаётся внутри тканей, не требуя прямого контакта с кожей, что обеспечивает комфорт пациента.
Электрическое поле стимулирует двигательные нервы, вызывая сокращение мышц
Это активирует естественное сокращение мышц, которое происходит при физических упражнениях, но без физической нагрузки.
Повышается активность клеток
Сокращение мышц активирует клеточный метаболизм, улучшая кровообращение и стимулируя процессы восстановления.
Увеличиваются сила и выносливость мышц
Регулярная стимуляция способствует укреплению мышц, повышает их тонус и выносливость, что особенно важно для реабилитации.
Пролонгированный эффект
Устранение болей и мышечных спазмов, улучшение подвижности позвоночника при остеохондрозе или грыжах. Укрепление мышц тазового дна приводит к снижению симптомов недержания. Ускорение восстановления после травм, реабилитация после операций. Лечение воспалений при тендините или плечелопаточном периартрите. Магнитное поле помогает расслабить и восстановить мышцы, уменьшить хронические боли и напряжение. Укрепление мышц пресса и помощь в реабилитации после операций на брюшной полости, а также для восстановления мышечного тонуса после родов.
  • Как магнитное поле активирует мышцу?
    Быстрые изменения напряженности магнитного поля вызывают электрический ток в нейроне. Это явление называется электромагнитной индукцией.
  • Как только ток достигает определенного значения, возникает так называемый потенциал действия нейрона. Это вызывает деполяризацию нейронной клетки, что в конечном итоге приводит к полному сокращению мышц.

На изображении слева показан процесс активации мышцы под воздействием магнитного поля.


Как магнитное поле активирует мышцу?

  • B поле (магнитное поле) → создаёт
  • E поле (электрическое поле), которое приводит к
  • Деполяризации нейрона, вызывая активность.

Затем процесс продолжается следующим образом:

  1. Повышенный порог и субпорог активации деполяризованных нейронов.
  2. Высвобождение нейромедиаторов.
  3. Пресинаптическое и постсинаптическое действие.
  4. Транссинаптическое действие.
  5. Поведенческий эффект (реакция организма).

На схеме показаны ключевые этапы действия магнитного поля на мышцы через электрическое поле и нейронные механизмы, которые приводят к активации мышц.

ICI и ICF относятся к нейрофизиологическим процессам, связанным с торможением и возбуждением нервных клеток:
  • ICI (Intracortical Inhibition) — внутрикорковое торможение. Это процесс, при котором нейроны коры головного мозга подавляют активность других нейронов, уменьшая вероятность их возбуждения.
  • ICF (Intracortical Facilitation) — внутрикорковое облегчение. Это процесс, при котором нейроны способствуют повышению возбудимости других нейронов, увеличивая вероятность их активации.

Оба этих механизма играют важную роль в регуляции нейронной активности и могут участвовать в управлении мышечными сокращениями, влияя на то, как магнитное поле активирует мышечные волокна через нервную систему.

На изображении справа показан график потенциала действия нейрона (электрической активности нейронной клетки).

  • Потенциал действия — это максимальный пик на графике, который возникает при возбуждении нейрона.
  • Порог — это минимальный уровень деполяризации, который должен быть достигнут, чтобы вызвать потенциал действия. Если стимул превышает этот порог, то начинается потенциал действия.
  • Стимул — начальное воздействие, которое вызывает деполяризацию мембраны.
  • Деполяризация — процесс увеличения мембранного потенциала, который приводит к развитию потенциала действия. Это восходящая часть графика.
  • Неудавшиеся инициации — попытки инициировать потенциал действия, которые не достигли порога, и, следовательно, не привели к потенциалу действия.
  • Реполяризация — процесс возвращения мембранного потенциала к исходному состоянию после активации. Это нисходящая часть графика.
  • Рефрактерный период — период, во время которого нейрон не может быть повторно активирован, пока не восстановится до состояния покоя.
  • Состояние покоя — состояние мембраны до и после потенциала действия, в котором мембранный потенциал стабилизируется.

График описывает электрические изменения в мембране нейрона в ответ на стимуляцию, что приводит к передаче сигнала по нервной системе.

Принцип работы и источник излучения

Принцип работы основан на генерации мощных магнитных импульсов, которые создают переменное магнитное поле. Это поле проникает глубоко в ткани, стимулируя электрохимические процессы в клетках и оказывая влияние на нервную и мышечную системы. Источником излучения поля является специальный аппарат, создающий высокоинтенсивное магнитное поле. Используются катушки индуктора, которые генерируют импульсные магнитные поля. Эти поля, благодаря принципу электромагнитной индукции, создают локальные электрические токи в тканях организма. Данные токи вызывают активацию нервных клеток и мышечных волокон, что приводит к их сокращению и восстановлению.


Интенсивность магнитного поля, создаваемого индукционной катушкой, пропорциональна силе тока, проходящего через катушку, и количеству витков проводника. Чем больше ток и количество витков в катушке, тем выше создаваемое магнитное поле. С увеличением магнитной индукции усиливается электромагнитная индукция в тканях организма, что позволяет глубже проникать и эффективнее воздействовать на ткани.


Именно по этой причине первые аппараты, появившиеся несколько лет назад, технологически уже устарели и существенно уступают более современным устройствам по мощности и эффективности. С увеличением параметров катушек и улучшением технологий генерации магнитных полей, современные аппараты, такие как Klinogicare® Quantum Magnetic Storm, способны создавать более сильные и глубокие магнитные поля. Благодаря внедрению передовых технологий и улучшенных материалов современные устройства значительно превосходят своих более возрастных конкурентов по техническим характеристикам, мощности и глубине воздействия. Эволюция магнитотерапевтических устройств продолжается, и, хотя они уже достигли значительных успехов, дальнейшее развитие технологий будет продолжаться до достижения физических пределов возможностей материалов и безопасности для пациента.

Предустановленные протоколы. При желании вы можете создать и сохранить свои любимые параметры, сохранить профиль на каждого пациента для мгновенного запуска. Система позволяет работать в автоматическом режиме. Интуитивно понятное управление.

Зоны применения различных видов магнитотерапии *

Дополнительные области применения помимо профессионального спорта:


  • Реабилитация после травм и операций. Способствует снижению воспаления, улучшению кровотока в области вмешательств и акселерации восстановления тканей, что ускоряет заживление, уменьшает риск осложнений, помогает избежать образования плотных рубцов и спаек.
  • Неврологическая реабилитация. Восстановление после инсультов и черепно-мозговых травм - может способствовать регенерации нервных клеток и улучшению проводимости нервных импульсов. Это особенно полезно при восстановлении двигательных функций после инсульта или травм головы. Лечение периферических нейропатий - при диабетической нейропатии или травматических повреждениях нервов.
  • Хронические боли различной этиологии и локализации.
  • Расслабление мышечного спазма, снижение стресса и улучшение общего самочувствия - Антистресс-эффект. Применение в зонах шеи и плеч может способствовать расслаблению мышц, снижению уровня стресса и улучшению общего состояния. Это особенно актуально для людей, страдающих от хронического стресса и перенапряжения.
  • Хронические воспалительные заболевания суставов (артриты). Аутоиммунные заболевания - улучшение общего состояния пациентов с такими заболеваниями, как ревматоидный артрит или системная красная волчанка, за счёт воздействия на воспалительные процессы.
  • Переобучение мышц и восстановление функций (функциональная реабилитация). Увеличение диапазона движений
  • Профилактика или замедление дисфункциональной атрофии
  • Стимуляция восстановления костной ткани. Лечение остеопороза и ускорение сращения переломов
  • Улучшение кровообращения и лимфодренажа. Стимулирование кровообращение в глубоких тканях, недоступных других методам, что помогает ускорить заживление, а также способствует более эффективному удалению токсинов и излишков жидкости, снижая отёки.
  • Послеоперационная стимуляция икроножных мышц для предотвращения венозного тромбоза
  • Увеличение диапазона движений
  • Косметология и восстановление после эстетических процедур. Восстановление после пластических операций (помогает уменьшить отёки и синяки, ускоряет восстановление после липосакции, подтяжек и других операций). Борьба с лишним весом и лечение целлюлита - улучшение микроциркуляции и лимфодренажа помогает в борьбе с целлюлитом, улучшая внешний вид кожи. А один сеанс 30 минут эквивалентен нескольким часам занятия в тренажерном зале.

Процедура и отличия от других видов терапии:


  • Процедура проста и не требует специальной подготовки пациента, а благодаря отсутствию контакта с кожей не требуется эпиляция/депиляция. Магнитное поле проникает глубже, не требуя контакта с кожей, что делает процедуру комфортной даже при наличии ран или повреждений.
  • Применение через одежду - во время процедуры пациент остается одетым. Во время стимуляции он/она сосредотачивается на осознании мышечных сокращений, что облегчает обучение тренировке мышц и повышает удобство и комфорт.
  • Терапия неинвазивна, безболезненна и не имеет каких-либо известных побочных эффектов.
  • Улучшение можно почувствовать уже после первого же сеанса.
  • Более глубокое проникновение по сравнению с другими методами и воздействие на более глубокие слои тканей, включая кости и внутренние органы.

Функциональная высокоинтенсивная магнитная стимуляция является эффективной альтернативой традиционным методам электрической стимуляции, так как имеет множество преимуществ для реабилитации. Магнитные поля существенно менее болезненны, позволяют глубоко проникать в неоднородные биологические ткани и не требуют контакта с кожей. В отличие от электротерапии наш аппарат не стимулирует болевые нервы на поверхности кожи, что делает процедуру более комфортной по сравнению с классической электрической стимуляцией.


Магнитные поля проходят через одежду, ткани и кости, достигая ранее недоступных участков. Устройство использует сверхиндуктивные свойства магнитного поля глубоко внутри тела, стимулируя мышцы, до которых невозможно добраться с помощью электрической стимуляции или мануальной терапии.


Увеличивает силу и выносливость мышц тазового дна. Идеально подходит для лечения мышц тазового дна и недержания. Импульсное магнитное поле, создаваемое устройством, вызывает сокращение мышц тазового дна без необходимости использования электродов. Кроме того, пациент учится правильно выполнять упражнения для укрепления мышц. Это обеспечивает эффективное и долговременное облегчение при неконтролируемом выделении мочи и ослаблении мышц тазового дна.

* Важное уточнение:


Для головы применяется исключительно только rTMS (повторяющаяся транскраниальная магнитная стимуляция) — это метод, который используется для лечения неврологических и психиатрических расстройств, таких как депрессия, мигрень и другие. Подробнее описание и сравнение технологий приведено ниже. rTMS воздействует на определённые области мозга через череп с помощью магнитных импульсов, но эта процедура должна проводиться под строгим контролем узкопрофильных специалистов. И требует специализированных неклассических устройств. Примеры исследований на PubMed https://pubmed.ncbi.nlm.nih.gov/35711594/ Transcranial Magnetic Stimulation for Post-traumatic Stress Disorder, читайте также https://pubmed.ncbi.nlm.nih.gov/31590749/ Transcranial magnetic stimulation: Neurophysiological and clinical applications.


Klinogicare® Quantum Magnetic Storm же относится к классу универсальных классических устройств и допустим к применению для всех частей тела, кроме головы, ввиду своей высокой мощности. Тем не менее эффектами от использования на плечевом поясе и шее могут быть некоторые из перечисленных в атласе выше.

Два варианта комплектаций поставки

Модель DOS на фото слева - стационарный Klinogicare® Quantum Magnetic Storm на 2 канала (каждый от 4 до 7 Тесла), модель UNO на фото справа - портативный Klinogicare® Quantum Magnetic Storm на 1 канал (от 4 до 7 Тесла).

Доступные режимы в каждой из комплектаций:


Muscle Treatment Mode (MT mode) — режим лечения мышц. Этот режим предполагает более частоту колебаний 1-150 Гц, что позволяет эффективно стимулировать мышечные волокна и улучшать кровообращение, способствуя снятию напряжения и ускорению восстановления мышц.


Super Transduction Mode (ST mode) — режим сверхпроникающего воздействия. В этом режиме частота колебаний выше (1000-3000 Гц), что позволяет магнитным импульсам проникать глубже в ткани, воздействуя на более плотные структуры, такие как суставы и кости, и обеспечивая интенсивное терапевтическое воздействие.


Эффективная мощность передачи до 65 000 Тесла в секунду. Обозначает скорость изменения магнитного поля, которое передается в ткани во время терапии, указывая на интенсивность и мощность воздействия магнитного поля на организм. Чем больше значение T/s (тесла в секунду), тем быстрее и эффективнее создаётся импульсное воздействие, что может усилить терапевтический эффект. Это важно для глубокой стимуляции тканей и улучшения кровообращения, что может ускорить регенерацию клеток и восстановление.

Klinogicare® Quantum Magnetic Storm DUO
  • Регулируемая интенсивность поля до 7 Тесла
  • Эффективная мощность передачи: 65 000 Тесла в секунду
  • Всеобъемлющая и высокоинтенсивная магнитотерапия с двумя режимами MT и ST (Muscle Treatment mode — режим лечения мышц и Super Transduction mode — режим сверхпроникающего воздействия)
  • Технология: Pulsed Magnetic Super Transduction PMST Импульсная магнитная супер-трансдукция (Импульсное электромагнитное поле, в том числе фокусное)
  • Каналов - 2
  • Настраиваемая продолжительность импульса – от нескольких микросекунд до нескольких миллисекунд (до 10 импульсов в секунду)
  • Режимы (модуляция) - непрерывная волна, трапециевидная волна, волна-синусоида, ступенчатая
  • Цветной сенсорный тачскрин дисплей 10”
  • Предустановленные протоколы
  • Навигация по частям тела (10 зон с подсказками)
  • Меню на русском языке
  • Функции: Обезболивание, физиотерапия
  • Применение: Спортивные травмы, хроническая боль, неврология, косметология
  • Охлаждение: Система водяного охлаждения
  • Частота колебаний в режиме MT: 1-150 Гц
  • Частота колебаний в режиме ST: 1000-3000 Гц
  • Напряжение: 100-240 В
  • Выходная мощность: 3000 Вт

Манипулы в комплекте:
  • Малая манипула - диаметр 13 см
  • Кольцевая манипула - диаметр 20 см
  • Гранд манипула - диаметр 26 см
Без ограничений и перегрева - запатентованная технология Aqua Flow предлагает неограниченное время непрерывной работы благодаря системе водяного охлаждения. До 10 часов подряд без остановок!

Фокусировка позволяет точно навести аппликатор на нужную зону и точку боли. 12 месяцев гарантии. Так как мы официальное представительство завода в России со своим авторизованным сервисом, то предоставляем возможность предоставления подменного аппарата.

Внешний вид изделия может варьироваться в зависимости от региона поставки. Технические и функциональные параметры идентичны для всех версий устройства.
Klinogicare® Quantum Magnetic Storm UNO
  • Регулируемая интенсивность поля до 7 Тесла
  • Эффективная мощность передачи: 65 000 Тесла в секунду
  • Всеобъемлющая и высокоинтенсивная магнитотерапия с двумя режимами MT и ST (Muscle Treatment mode — режим лечения мышц и Super Transduction mode — режим сверхпроникающего воздействия)
  • Каналов - 1
  • Портативный
  • Технология: Pulsed Magnetic Super Transduction PMST Импульсная магнитная супер-трансдукция (Импульсное электромагнитное поле, в том числе фокусное)
  • Настраиваемая продолжительность импульса – от нескольких микросекунд до нескольких миллисекунд (до 10 импульсов в секунду)
  • Режимы (модуляция) - непрерывная волна, трапециевидная волна, волна-синусоида, ступенчатая
  • Цветной сенсорный тачскрин дисплей 8”
  • Предустановленные протоколы
  • Навигация по частям тела (10 зон с подсказками)
  • Меню на русском языке
  • Функции: Обезболивание, физиотерапия
  • Применение: Спортивные травмы, хроническая боль, неврология, косметология
  • Охлаждение: Система водяного охлаждения
  • Частота колебаний в режиме MT (регулируемая): 1-150 Гц
  • Частота колебаний в режиме ST (регулируемая): 1000-3000 Гц
  • Напряжение: 100-240 В
  • Выходная мощность: 1500 Вт

Манипулы в комплекте:
  • Малая манипула - диаметр 13 см
  • Кольцевая манипула - диаметр 20 см
  • Гранд манипула - диаметр 26 см
Без ограничений в использовании и без перегрева - запатентованная технология Aqua Flow предлагает неограниченное время непрерывной работы благодаря системе водяного охлаждения. До 10 часов подряд без остановок!

Фокусировка позволяет точно навести аппликатор на нужную зону и точку боли. 12 месяцев гарантии. Так как мы официальное представительство завода в России со своим авторизованным сервисом, то предоставляем возможность предоставления подменного аппарата.

Внешний вид изделия может варьироваться в зависимости от региона поставки. Технические и функциональные параметры идентичны для всех версий устройства.

Сравнение с другими магнитами

Сравнение модулей охладения, применяемых в разных устройствах
Воздушное охлаждение:

Принцип работы: Охлаждение происходит за счёт циркуляции воздуха.

Преимущества:
  • Простота конструкции.
  • Дешевле в производстве и обслуживании.

Недостатки:
  • Меньшая способность к интенсивному охлаждению
Водяное охлаждение:
Принцип работы: Используется вода для отвода тепла. Охлаждающая жидкость циркулирует и охлаждает систему.

Преимущества:
  • Наиболее эффективная система охлаждения по сравнению с воздушным и масляным модулями.
  • Способно справляться с высокими температурами и высокой нагрузкой и обеспечивать стабильную работу даже в экстремальных условиях.
Недостатки:
  • Дороже в производстве, так как более сложная конструкция.
Два канала
Возможность запрограммировать одновременную синхронную работу обеих манипул или настроить два независимых протокола. Это позволяет либо обрабатывать разные участки тела у одного пациента, либо проводить процедуры одновременно для двух пациентов.

До 4 Тесла в малой манипуле,
До 5 Тесла в манипуле "кольцо" (фокусная)
До 7 Тесла в Гранд-манипуле.

Глубина проникновения до 25 см

Видео

Виды технологий магнитотерапии и их особенности:

Как правило, это разные названия одной и той же технологии, но всё же некоторые отличия есть. Проникновение магнитного поля в ткани зависит от интенсивности поля и частоты импульсов. Магнитное поле проходит через ткани организма без препятствий, включая кожу, мышцы и даже кости, не поглощаясь или рассеиваясь, как свет. Различные частоты и интенсивности магнитных импульсов оказывают разное воздействие на глубину проникновения и типы тканей. В отличие от светового излучения, магнитное поле воздействует на клеточные ионные процессы, стимулируя обмен веществ и активируя регенерацию в мышцах, костях и нервных окончаниях.


Pulsed Magnetic Super Transduction PMST Импульсная магнитная супер-трансдукция — высокоинтенсивная магнитотерапия, использующая импульсные магнитные поля для глубокого воздействия на мышцы, суставы и кости, с целью стимуляции тканей и улучшения регенерации.


High Induction Magnetic Stimulation HIMS высокоиндукционная магнитная стимуляция. Это технология, основанная на использовании высокоиндукционных магнитных полей для стимуляции мышц и тканей. Она действует по принципу индуцирования электрических токов в тканях организма посредством мощных и переменных магнитных полей. Эти индуцированные токи могут активировать нервные и мышечные клетки, вызывая их сокращение и регуляцию тонуса.


Super Inductive System Супер индуктивная система — система с высокоинтенсивными магнитными полями, которая фокусируется на обезболивании, снятии воспаления и стимуляции нервных окончаний.


Extracorporeal Magnetotransduction Therapy ЕМТТ Экстракорпоральная магнитотрансдукционная терапия — методика, использующая высокоинтенсивные импульсные магнитные поля для воздействия на мышцы и ткани без проникновения внутрь тела, эффективно применяемая для регенерации тканей, лечения воспалений и восстановления после травм.


Pulsed Electromagnetic Field PEMF Импульсное электромагнитное поле — терапия с импульсным электромагнитным полем низкой интенсивности, направленная на стимулирование клеточного метаболизма, улучшение кровообращения и снятие воспаления в более поверхностных тканях.


High-Intensity Focused Electromagnetic Technology HIFEM — высокоинтенсивная сфокусированная электромагнитная технология, используемая для восстановления нервно-мышечного контроля.


Static Magnetic Therapy Статическая магнитная терапия — использование постоянных магнитов для воздействия на тело, применяемая для уменьшения боли, но с менее доказанной эффективностью.


Repetitive Transcranial Magnetic Stimulation rTMS Повторяющаяся транскраниальная магнитная стимуляция — методика, основанная на использовании повторяющихся магнитных импульсов для воздействия на мозг, применяемая для лечения депрессии и других неврологических заболеваний.


Magneto-Thermal Therapy Магнитно-тепловая терапия — комбинация магнитного поля и теплового воздействия, используемая для улучшения кровообращения и снятия мышечных спазмов.


High-Intensity Magnetic Therapy HIMT Высокоинтенсивная магнитная терапия — это ещё одна технология, которая использует высокоинтенсивное магнитное поле для воздействия на ткани организма.

Научные исследования

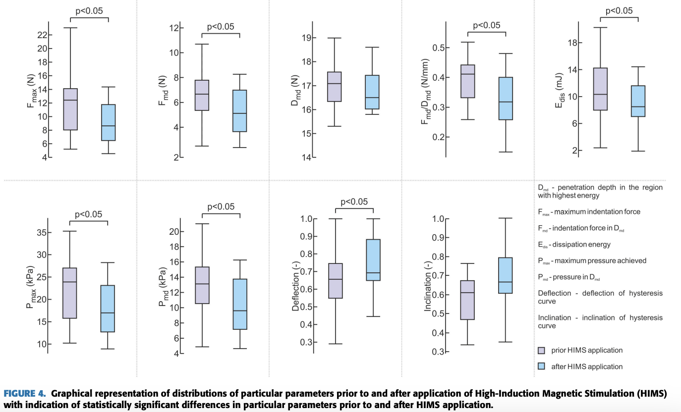
Effects of the High-Induction Magnetic Stimulation on Viscoelastic Properties of the Biceps Brachii

Влияние высокоиндукционной магнитной стимуляции на вязкоупругие свойства двуглавой мышцы плеча
The Ministry of Health of the Czech Republic under Grant NV16-28784A. 26 February 2021. doi: 10.1109/ACCESS.2021.3062783
Ссылка на источник
Abstract
Therapeutic methods taking advantage of low-frequency electromagnetic fields, or in other words, electrical currents contactless-induced by time-variable magnetic fields, enjoy an ever-growing interest in rehabilitation medicine. A great interest is paid to the question of using non-conventional techniques, such as the High Induction Magnetic Stimulation (HIMS). Based on therapeutic principles, it is possible to expect positive effects of this therapy, but this problem has not yet been considered, and thus, there are no research results supporting the HIMS application. Due to this, the target of the article presented here is to study effects of the HIMS on viscoelastic properties of skeletal muscles, since this research has till been missing. Within the framework of the present study, the HIMS was applied to 15 subjects and viscoelastic properties of the muscle were measured before and after the application. The evaluation of hysteresis curves acquired show obvious effects of the HIMS on viscoelastic muscle characteristics. After the HIMS application, the muscle tone was decreased and the elasticity of the tissue exposed was increased in the sample studied.
Аннотация
Терапевтические методы, использующие низкочастотные электромагнитные поля, или, другими словами, электрические токи, бесконтактно индуцируемые переменными во времени магнитными полями, вызывают всё больший интерес в реабилитационной медицине. Особое внимание уделяется применению нетрадиционных методик, таких как высокоиндукционная магнитная стимуляция (HIMS). Исходя из терапевтических принципов, можно ожидать положительных эффектов от этой терапии, однако данная проблема ещё не рассматривалась, и поэтому отсутствуют результаты исследований, подтверждающие применение HIMS. В связи с этим целью данной статьи является изучение влияния HIMS на вязкоупругие свойства скелетных мышц, так как подобные исследования до сих пор отсутствовали. В рамках данного исследования HIMS была применена к 15 участникам, и вязкоупругие свойства мышц измерялись до и после воздействия. Оценка полученных кривых гистерезиса показала явные эффекты HIMS на вязкоупругие характеристики мышц. После применения HIMS наблюдалось снижение мышечного тонуса и увеличение эластичности тканей у исследуемых участников.
Clinical Study of Applied High-induction Electromagnetic Field on Painful Conditions

Клиническое исследование применения высокоиндукционного электромагнитного поля при болевых состояниях
Published: Rehabilitace a fyzikální lékařství, 2016, Vol. 3(23), p. 142—148
Ссылка на источник
Summary

Background: A new approach to pain management appeared in a physical therapy. It is technology based on the effect of strong pulsed electromagnetic field in human tissue (the value of induction is in the order of units of tesla). This pilot study examines the analgesic effect of this technology with different diagnoses.

Objective: Verification of an analgesic effect of a strong pulsed electromagnetic field on a sufficient statistical sample in a clinical practice.

Methods: The therapy was performed with 57 randomly selected patients with chronic and acute pain of musculoskeletal system. Patients had 6 therapies in average, 1—2 times per week, 10—15 minutes according to the selected protocol. We used the combination of the Visual Analog Scale (VAS) and the Verbal Numerical Rating Scale (VNRS) to determine the analgesic effect.

Results: Regardless of diagnoses the overall decrease of pain was 37.5 %. There was significant release of pain at 46 patients. There was neither improvement nor worsening of pain in 4 of the 50 patients. Seven patients were excluded from the study.

Conclusion: We have demonstrated the analgesic effect of a strong pulsed electromagnetic field on musculoskeletal pain.
Саммари:

Введение: В физиотерапии появился новый подход к управлению болью. Это технология, основанная на воздействии сильного импульсного электромагнитного поля на ткани человека (значение индукции порядка нескольких тесла). Данное пилотное исследование изучает анальгезирующий эффект этой технологии при различных диагнозах.

Цель: Проверка анальгезирующего эффекта сильного импульсного электромагнитного поля на достаточной статистической выборке в клинической практике.

Методы: Терапия проводилась на 57 случайно отобранных пациентах с хронической и острой болью опорно-двигательного аппарата. В среднем пациенты проходили 6 сеансов терапии, 1—2 раза в неделю, по 10—15 минут в соответствии с выбранным протоколом. Для определения анальгезирующего эффекта мы использовали комбинацию визуальной аналоговой шкалы (VAS) и вербальной числовой рейтинговой шкалы (VNRS).

Результаты: Независимо от диагнозов общее снижение боли составило 37,5 %. У 46 пациентов было зафиксировано значительное облегчение боли. У 4 из 50 пациентов не было ни улучшения, ни ухудшения. Семь пациентов были исключены из исследования.

Заключение: Мы продемонстрировали анальгезирующий эффект сильного импульсного электромагнитного поля на боли опорно-двигательного аппарата.
Electromagnetic Induction for Treatment of Unspecific Back Pain: A Prospective Randomized Sham-Controlled Clinical Trial

Электромагнитная индукция для лечения неспецифической боли в спине: проспективное рандомизированное плацебо-контролируемое клиническое исследование
Randomized Controlled Trial J Rehabil Med. 2023 Apr 28:55:jrm00389. doi: 10.2340/jrm.v55.3487. PMID: 37115201 PMCID: PMC10166141 https://pubmed.ncbi.nlm.nih.gov/37115201/
Ссылка на источник
Abstract

Objective: To evaluate the effects of high-energy pulsed electromagnetic fields on unspecific back pain.

Methods: A prospective, randomized, sham-controlled clinical trial with repeated measurements was performed. The study included 5 visits (V0 to V4) with 3 interventions during V1, V2 and V3. Sixty-one patients aged between 18 and 80 years with unspecific back pain (acute inflammatory diseases and specific causes were reasons for exclusion) were included. The treatment group (n = 31) received 1-2 pulses/s, with an intensity of 50 mT, and an electric field strength of at least 20 V/m on 3 consecutive weekdays for 10 min each time. The control group (n = 30) received a comparable sham therapy. Pain intensity (visual analogue scale), local oxyhaemoglobin saturation, heart rate, blood pressure, and perfusion index were evaluated before (b) and after (a) V1 and V3 interventions. Change in visual analogue scale for V1 (ChangeV1a-b) and V3 (ChangeV3a-b), and ChangeData between V3a and V1b (ChangeV3a-V1b) for the remaining data were calculated (results were mean (standard deviation) (95% confidence interval; 95% CI)).

Results: Concerning the visual analogue scale: (i) compared with the control group, the treatment group had higher ChangeV1a-b (-1.25 (1.76) (95% CI -1.91 to -0.59) vs -2.69 (1.74) (95% CI -3.33 to -2.06), respectively), and comparable Change V3a-b (-0.86 (1.34) (95% CI -1.36 to -0.36) vs -1.37 (1.03) (95% CI -1.75 to 0.99), respectively); and (ii) there was a significant marked decrease in Change V3a-1b in the treatment group compared with the control group (-5.15 (1.56) (95% CI -5.72 to -4.57) vs -2.58 (1.68) (95% CI -3.21 to -1.96), p = 0.001, respectively). There was no significant ChangeV3a-V1b in local oxyhaemoglobin saturation, heart rate, blood pressure or perfusion index between the 2 groups and for the same group (before vs after).

Conclusion: Non-thermal, non-invasive electromagnetic induction therapy had a significant and rapid influence on unspecific back pain in the treatment group.
Аннотация

Цель: Оценить эффекты высокоэнергетических импульсных электромагнитных полей на неспецифическую боль в спине.

Методы: Было проведено проспективное рандомизированное плацебо-контролируемое клиническое исследование с повторными измерениями. Исследование включало 5 визитов (V0–V4) с тремя интервенциями во время визитов V1, V2 и V3. В исследование были включены 61 пациент в возрасте от 18 до 80 лет с неспецифической болью в спине (острые воспалительные заболевания и специфические причины были исключены). Группа лечения (n = 31) получала 1-2 импульса/сек с интенсивностью 50 мТл и напряженностью электрического поля не менее 20 В/м в течение трёх последовательных будних дней по 10 минут каждый раз. Контрольная группа (n = 30) получала аналогичную плацебо-терапию. Интенсивность боли (визуальная аналоговая шкала), локальная сатурация оксигемоглобина, частота сердечных сокращений, артериальное давление и индекс перфузии оценивались до (b) и после (a) интервенций V1 и V3. Изменения по визуальной аналоговой шкале для V1 (ChangeV1a-b) и V3 (ChangeV3a-b), а также изменения данных между V3a и V1b (ChangeV3a-V1b) были рассчитаны (результаты указаны как средние значения (стандартное отклонение) (95% доверительный интервал; 95% CI)).

Результаты: По визуальной аналоговой шкале: (i) по сравнению с контрольной группой, в группе лечения ChangeV1a-b был выше (-1.25 (1.76) (95% CI -1.91 до -0.59) против -2.69 (1.74) (95% CI -3.33 до -2.06), соответственно), и аналогичный Change V3a-b (-0.86 (1.34) (95% CI -1.36 до -0.36) против -1.37 (1.03) (95% CI -1.75 до 0.99), соответственно); и (ii) наблюдалось значительное снижение ChangeV3a-1b в группе лечения по сравнению с контрольной группой (-5.15 (1.56) (95% CI -5.72 до -4.57) против -2.58 (1.68) (95% CI -3.21 до -1.96), p = 0.001, соответственно). Не было значительных изменений в ChangeV3a-V1b по локальной сатурации оксигемоглобина, частоте сердечных сокращений, артериальному давлению или индексу перфузии между двумя группами и в пределах одной группы (до и после).

Вывод: Нетепловая, неинвазивная терапия электромагнитной индукцией оказала значительное и быстрое влияние на неспецифическую боль в спине у группы лечения.
Читайте также другие исследования:
  • Assessment of the Short-Term Effects after High-Inductive Electromagnetic Stimulation of Pelvic Floor Muscles: A Randomized, Sham-Controlled Study - Оценка краткосрочных эффектов после высокоиндукционной электромагнитной стимуляции мышц тазового дна: рандомизированное, плацебо-контролируемое исследование
    https://www.mdpi.com/2077-0383/9/3/874
    J. Clin. Med. 2020, 9(3), 874; https://doi.org/10.3390/jcm9030874
  • Effect of High-Induction Magnetic Stimulation on Elasticity of the Patellar Tendon - Влияние высокоиндукционной магнитной стимуляции на эластичность надколенного сухожилия
    https://onlinelibrary.wiley.com/doi/full/10.1155/2018/7172034 J Healthc Eng. 2018; 2018: 7172034. Published online 2018 Aug 1. doi: 10.1155/2018/7172034
  • Introduction to High Intensity Tesla Stimulation (HITS) and Review of Electro-Magnetic Field Device clinical applications - Введение в высокоинтенсивную стимуляцию (HITS) и обзор клинических применений устройства электромагнитного поля
    https://finessemedicalcenter.nl/wp-content/uploads/2023/08/High-Intensity-Tesla-Stimulation_REVIEW_final_draft.pdf I Talaber, N Koron, M Bucik, J Baños, RV Sing… - 2021 - finessemedicalcenter.nl
  • Electromagnetic investigation of neuron growth by using pulsed electromagnetic field stimulation - Исследование роста нейронов с использованием стимуляции импульсным электромагнитным полем
    https://www.sciencedirect.com/science/article/abs/pii/S1746809423001726 "Результаты морфологического удлинения нервных клеток и воздействия PEMF были изучены, и эффективность была подтверждена" (c) Biomedical Signal Processing and Control Volume 84 , July 2023, 104739 https://doi.org/10.1016/j.bspc.2023.104739
ОСТАВИТЬ ЗАЯВКУ
Оставьте заявку и мы свяжемся с Вами в ближайшее время
Отправляя запрос, Вы даёте согласие на обработку Ваших персональных данных согласно закону №152-ФЗ «О персональных данных»